تصفح الكمية:1 الكاتب:محرر الموقع نشر الوقت: 2024-08-09 المنشأ:محرر الموقع
يعد التصميم الأمثل للمشتتات الحرارية، خاصة للأجهزة ذات الأحمال الحرارية العالية مثل MOSFETs وIGBTs، أمرًا بالغ الأهمية للتشغيل الفعال لهذه الأجهزة ولتجنب فشل المكونات المبكر. وهذا يتطلب مجموعة من المراوح والمشتتات الحرارية لتوفير التبريد المناسب للأجهزة عالية الطاقة التي تبدد كميات كبيرة من الحرارة.
تتمتع شركة Wenxuan Thermal Energy بقدرات تخصيص احترافية وأسواق تطبيقات متنوعة، ويمكنها تخصيص منتجات التبريد لأنظمة مختلفة للعملاء.
كما هو موضح في الشكل 1، غالبًا ما يتم استخدام غطاء أو قناة لتوجيه تدفق هواء المروحة إلى الرادياتير لمنع تدفق الهواء حول الرادياتير، وبالتالي تقليل قدرة التبريد الفعالة لمجموعة المروحة والمشتت الحراري .

الشكل 1: تصميم المبدد الحراري والمروحة بدون تجاوز
يمكن حساب التباعد الأمثل للمشتت الحراري والمقاومة الحرارية الناتجة لمجموعة المروحة/المبرد الموضح في الشكل 1 مباشرة باستخدام بعض الصيغ لتقدير حجم المشتت الحراري المطلوب بسرعة.
ومع ذلك، ليس من الممكن تحسين التباعد بين زعانف المشتت الحراري بافتراض معدل تدفق ثابت أو معدل تدفق حجمي. يتم تحديد سرعة تدفق الهواء بين الزعانف من خلال تباعد الزعانف وعددها، باستخدام المعادلة 1. تنص هذه الصيغة على أن تدفق حجم الهواء الذي يقترب من المبرد هو نفس تدفق حجم الهواء الذي يمر عبر المبرد لأنه لا يوجد تدفق جانبي حول المبرد.

الشكل 2: أبعاد زعانف تبريد الهواء
V f : سرعة الهواء بين الزعانف
V: تدفق الحجم إلى الرادياتير
H f = Hb: ارتفاع الزعنفة
S: المسافة بين الزعانف
N f : عدد الزعانف
كلما المسافة بين الزعانف أصغر كانت ، زادت سرعة الهواء V f بين الزعانف. كلما زاد معدل تدفق الهواء، كان تأثير التبريد للمشتت الحراري أفضل. إذا كنت ترغب في تحسين حجم المشتت الحراري، فيجب أن يكون التباعد بين الزعانف قيمة صغيرة، لأن معدل تدفق الهواء سيزداد مع انخفاض تباعد الزعانف، وسيزداد تأثير التبريد أيضًا. في التطبيقات العملية، يتم توفير تدفق الهواء عن طريق المراوح أو المنافيخ. معدل التدفق ليس ثابتًا ومحدودًا بزيادة انخفاض ضغط المشتت الحراري مع انخفاض تباعد المشتت الحراري .
لتبسيط التحليل وتجنب الأخطاء الحسابية الكبيرة، سنضع الافتراضات التالية:
أ. مساحة السطح الناتجة عن سمك الزعنفة t وسمك القاعدة b أقل بكثير من إجمالي مساحة سطح المشتت الحراري.
ب. مصدر الحرارة هو نفس طول وعرض المشتت الحراري ويقع في منتصف قاعدة المشتت الحراري.
ج. مصدر الحرارة وقاعدة المشتت الحراري على اتصال كامل بالمروحة أو المنفاخ.
د. يمر كل تدفق الهواء عبر المبرد.
ه. بالمقارنة مع الحمل الحراري، فإن انتقال الحرارة الإشعاعي صغير ويمكن تجاهله.
و. يكون تدفق الهواء عبر المبرد صفحيًا وثابتًا. سمك المشتت الحراري صغير مقارنة بالمسافات بين المشتتات الحرارية.
بافتراض أن تدفق الهواء الصفحي عبر الرادياتير يعمل مع معظم مجموعات الرادياتير/المروحة التجارية. في الإلكترونيات، يعتبر ضجيج المروحة أحد الاعتبارات الرئيسية، لذلك يتم تقليل سرعة المروحة عمدًا لتجنب حدوث ضوضاء كبيرة عند الانتقال من التدفق الصفحي إلى التدفق المضطرب.
الخطوة الأولى في تصميم المشتت الحراري هي تحديد نقطة التشغيل لمجموعة المروحة والمشتت الحراري. عند استخدام مروحة أو منفاخ مع الرادياتير، فإن أداء المروحة سيعتمد على تصميم الرادياتير.
كما هو موضح في الشكل 3، تتمتع كل مروحة بمنحنى ضغط/تدفق فريد، حيث يتناسب معدل التدفق عكسيًا مع انخفاض الضغط عبر المروحة. تحتوي المشعات أيضًا على منحنى ضغط/تدفق يتناسب مع انخفاض الضغط عبر الرادياتير، كما هو موضح في الشكل 3. التدفق عبر مجموعة المروحة/الرادياتير هو تقاطع منحنيات ضغط/تدفق المروحة والرادياتير.
الشكل 3: ضغط المروحة والرادياتير مقابل منحنيات التدفق
يتم توفير منحنيات المروحة بشكل عام من قبل الشركة المصنعة للمروحة وعادة ما تكون غير خطية للغاية. في كثير من الحالات، بيانات أداء المروحة الوحيدة التي توفرها هي الحد الأقصى للتدفق والحد الأقصى لانخفاض الضغط. لتبسيط حسابات التدفق واستيعاب المواقف التي يتم فيها توفير الحد الأقصى للتدفق والحد الأقصى لانخفاض الضغط فقط، يمكن التعبير عن تقريب خطي بسيط لمنحنى المروحة في المعادلة 2. في معظم الحالات، يوفر هذا التقريب الخطي لمنحنى المروحة تقديرًا معقولًا لمنحنى أداء المروحة.

ΔP max : الحد الأقصى لانخفاض ضغط المروحة
V max : الحد الأقصى لتدفق حجم المروحة
في حالة استخدام مراوح متعددة جنبًا إلى جنب (بالتوازي)، فإن الحد الأقصى لمعدل التدفق V max للمروحة هو الحد الأقصى لمعدل التدفق لمروحة واحدة مضروبًا في عدد المراوح.
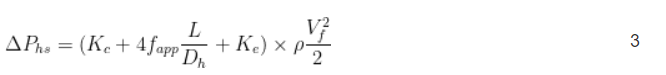
يظهر انخفاض الجهد عبر المشتت الحراري في المعادلة 3:

يتم حساب كثافة الهواء ρ من درجة حرارة الهواء المحيط.
يمكن تقريب القطر الهيدروليكي D h للقناة بين الزعانف بـ 2s . المتغيرات K c و K e هي معاملات فقدان الضغط بسبب انكماش وتوسع تدفق الهواء الداخل والخارج من المبرد، على التوالي. إن صيغ معاملات فقدان الضغط هذه هي دالة للمنطقة الأمامية σ=s/(s + t) وتستند إلى الرسم البياني الوارد في المرجع 1.

يعتمد معامل الاحتكاك الظاهري fapp على النموذج الذي تم تطويره في المرجع [2]:
، هو رقم رينولدز، حيث ν هي اللزوجة الحركية.
يأخذ المصطلح
الموجود في المعادلة 6 في الاعتبار معامل الاحتكاك الناتج عن التدفق المتطور بالكامل بين زعانف المبرد. يحدث التدفق المتطور بالكامل في قنوات طويلة جدًا، أو في التدفقات البطيئة حيث يظل ملف تعريف سرعة التدفق ثابتًا.
لتحديد نقطة تشغيل المروحة/الرادياتير (أي تقاطع منحنيات الضغط/التدفق للمروحة والرادياتير)، يتم معادلة المعادلة 2 والمعادلة 3 ويتم
تحديد المتغير غير المعروف.
حساب تباعد الزعانف S opt الذي يوفر الحد الأقصى لنقل الحرارة باستخدام المعادلة 9، حيث μ و α هما اللزوجة والانتشار الحراري للهواء، على التوالي. تم اقتراح هذه الصيغة بواسطة Bejan et al. في المرجع. 3.

الخيار الأمثل لتباعد الزعانف هو وظيفة انخفاض ضغط المروحة ΔP للمروحة وانخفاض ضغط المشتت الحراري ΔP hs . يحدد ضغط النظام بأكمله صورة معدل التدفق عبر الرادياتير، ومعدل التدفق هذا هو الذي يؤثر على معدل نقل الحرارة في الرادياتير.
استبدل المعادلة 9 بتباعد الزعانف في المعادلة 8 وحدد صورة التدفق للنظام عن طريق حل المعادلة الناتجة.
يرجى ملاحظة أنه على الرغم من أن المعادلة 8 تحل تساوي ΔP fan و ΔP hs ، يجب استخدام مروحة المعادلة 2 ΔP فقط عند حل التدفق في المعادلة 9. يعتمد ΔP hs في المعادلة 3 على تباعد الزعانف s ، لذا فإن استخدام ΔP hs في المعادلة 9 لحل معدل التدفق أمر مستعصي على الحل رياضيًا.
4. حساب المقاومة الحرارية للمشتت الحراري
من حل المعادلة 8 نعرف صورة التدفق وسرعة التدفق V f عبر المشتت الحراري، ويمكننا تحديد معدل انتقال الحرارة والمقاومة الحرارية للمشتت الحراري.
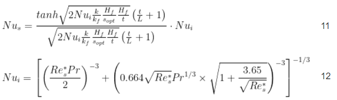
احسب متوسط معامل انتقال الحرارة hf للمشتت الحراري باستخدام المعادلات 10 و11 و12 و13 و14 في المرجع 4.

حيث k هي الموصلية الحرارية للهواء.
P r هو عدد Prandtl للهواء، ويمكن استخدام قيمة 0.71 على مدى درجة حرارة التشغيل النموذجية للمشتتات الحرارية المستخدمة في التبريد الإلكتروني.
لذلك، فإن المقاومة الحرارية الإجمالية R hs للمشتت الحراري هي:
مساحة السطح المبللة للرادياتير، A hs ، هي المنطقة الملامسة للهواء المتدفق عبر الرادياتير.
الحد الأول في المعادلة 15 هو المقاومة الحرارية للمشتت الحراري، والمصطلح الذي يلي علامة الزائد هو المقاومة الحرارية عند قاعدة المشتت الحراري.
بالنسبة المتنوعة للمبددات الحرارية ، تتمتع شركة Wenxuan Thermal Energy بقدرات تخصيص احترافية وأسواق تطبيقات متنوعة، ويمكنها تخصيص منتجات التبريد لأنظمة مختلفة للعملاء. في غضون ذلك ، سنأخذ العديد من العوامل في الاعتبار عند تصميم الرادياتير ونستمر في تحسين تصميم الرادياتير وتحسينه. إذا كانت لديك أي أسئلة أخرى حول المشتتات الحرارية أو كنت بحاجة إلى حل تبريد مناسب لشركتك، فلا تتردد في ترك تعليق أو الاتصال بـ Wenxuan عبر البريد الإلكتروني.